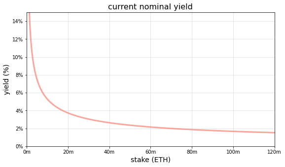
<style> p.small { line-height: 0.7; } </style> # Issuance Issues — Initial Issue<br><p class="small"><small>*^ Playing with the [polysemic](https://en.wiktionary.org/wiki/polysemic) nature of the word, [issue](https://www.merriam-webster.com/dictionary/issue), to mean both "a vital or unsettled matter" and "the thing or the whole quantity of things given out at one time." sorry lol... couldn't help it :)*</small></p> <img src=https://storage.googleapis.com/ethereum-hackmd/upload_15d3c0630b620b8436ee10696304788a.png width=76%> <sub>***^ do you think that is what Ethereum looks like? lil' guy is out here doing his best. ◇🍴***</sub> $\cdot$ *by [mike](https://twitter.com/mikeneuder) based on discussions with [caspar](https://twitter.com/casparschwa) & [ansgar](https://twitter.com/adietrichs) – saturday, march 30, 2024.* > **Disclaimer:** *This article only contains the author's opinions and does not represent the view of any organization.* $\cdot$ **tl;dr;** *Issuance defines how Ethereum pays for security. Entering mid-2024, the realities of staking have changed seismically since the inception of the beacon chain at the end of 2020. The future remains uncertain, but we can explore the impact of issuance on solo staking, `ETH` the asset, and protocols building in & around Ethereum consensus.* *Unfortunately, we do not have the final answer for the staking endgame. As research in this direction continues, we must also be pragmatic about where `ETH` staking is today and how it might evolve over the next 1-2 years as we work towards an ossified protocol. With the upcoming Electra fork, we argue for <u>making a conscious decision</u>. Whether or not that involves changing the reward curve, intentionality is essential. Presenting the arguments for both sides is vital to help inform that decision.* *We hope to be more expository than prescriptive. That said, we acknowledge our biases; we believe changing the issuance curve in the Electra fork is important and should be seriously considered. This article aims to make that case based on the available information, but we hope others express opinions on this topic – we view it as one of <u>the most important conversations</u>!* $\cdot$ **Contents** (1) [What is issuance?](#1-What-is-issuance) (2) [What is the current situation?](#2-What-is-the-current-situation) &nbsp;&nbsp;&nbsp;(2.1) [How may the situation evolve?](#21-How-may-the-situation-evolve) &nbsp;&nbsp;&nbsp;(2.2) [... so what? What's wrong lots of stake?](#22-…-so-what-What’s-wrong-with-lots-of-stake) (3) [What are our options?](#3-What-are-our-options) &nbsp;&nbsp;&nbsp;(3.1) [Apples-to-apples: comparing staking equilibria](#31-Apples-to-apples-comparing-staking-equilibria) &nbsp;&nbsp;&nbsp;(3.2) [Consider the solo staker](#32-Consider-the-solo-staker) (4) [Summary](#4-Summary) $\cdot$ **Related work** | Article | Description| |---|---| |[*Minimum Viable Issuance*](https://notes.ethereum.org/@anderselowsson/MinimumViableIssuance) | Anders' first post | |[*Properties of issuance level (part 1)*](https://notes.ethereum.org/@anderselowsson/HyUIqjo_6) | Anders' second post| |[*Endgame Staking Economics: A Case for Targeting*](https://ethresear.ch/t/endgame-staking-economics-a-case-for-targeting/18751) | Caspar & Ansgar's post | |[*Electra: Issuance Curve Adjustment Proposal*](https://ethereum-magicians.org/t/electra-issuance-curve-adjustment-proposal/18825) | Caspar & Ansgar's Electra proposal | | [*UCC2: Ethereum's Staking Endgame*](https://www.ucc2.xyz/podcast/episode/28ec02cd/ethereums-staking-endgame) | Jon, Hasu, Caspar, & Ansgar's discussion | | [*Initial Analysis of Stake Distribution*](https://ethresear.ch/t/initial-analysis-of-stake-distribution/19014) | Julian's post | |[*Reward curve with tempered issuance: EIP research post*](https://ethresear.ch/t/reward-curve-with-tempered-issuance-eip-research-post)| Ander's third post | --- ## (1) What is issuance? [Issuance](https://ethereum.org/en/roadmap/merge/issuance/#components-of-eth-issuance) describes the rewards distributed by the Ethereum protocol to incentivize secure block production and validation. These rewards are minted as new tokens and given to network participants who conduct consensus duties. The total supply of `ETH` depends on the issuance and the [burn](https://ethereum.org/en/roadmap/merge/issuance/#the-burn), introduced in [EIP-1559](https://eips.ethereum.org/EIPS/eip-1559). The following timeline shows a brief history of Ethereum issuance; for more, see [*"The history of Ethereum"*](https://ethereum.org/en/history/). <u>Issuance timeline</u> - [`Jul 30, 2015`] Genesis: initial block reward set to 5 `ETH`. - Under Proof-of-Work, miners were rewarded for producing blocks; Uncle (a.k.a., ommer) blocks were also rewarded. - [`Oct 16, 2017`] [Byzantium](https://ethereum.org/en/history/#byzantium) ([EIP-649](https://eips.ethereum.org/EIPS/eip-649)): block reward reduced to 3 `ETH`. - The first time that the block reward changes. - [`Feb 28, 2019`] [Constantinople](https://ethereum.org/en/history/#constantinople) ([EIP-1234](https://eips.ethereum.org/EIPS/eip-1234)): block reward reduced to 2 `ETH`. - The second time that the block reward changes. - [`Dec 01, 2020`] [Beacon chain genesis](https://ethereum.org/en/history/#beacon-chain-genesis): Proof-of-Stake issuance incepted. - Ethereum is now paying Proof-of-Work rewards *and* Proof-of-Stake rewards simultaneously. - Proof-of-Stake rewards remain locked in the beacon chain and are not withdrawable. - [`Sep 15, 2022`] [The Merge](https://ethereum.org/en/roadmap/merge/): End of Proof-of-Work block rewards. - Ethereum issuance is now only from Proof-of-Stake rewards. These rewards remain locked in the beacon chain. - [`Apr 12, 2023`] [Shanghai/Capella](https://ethereum.org/en/history/#shapella) ([EIP-4895](https://eips.ethereum.org/EIPS/eip-4895)): Withdrawals activated. - Proof-of-Stake rewards are now withdrawable to the execution layer. Since the beacon chain genesis, the Proof-of-Stake issuance *has not changed.* The curve (a parameterized inverse square root) calculates the amount of yield as a function of the amount of `ETH` staked.[^1] $$ \text{yield} = \frac{2.6 \cdot 64}{\sqrt{\text{staked ETH}}} $$ The parameters in the numerator come from estimates signaled in [this PR](https://github.com/ethereum/consensus-specs/pull/971). The figure below shows this curve graphically. [^1]: Derivation: (mostly leaving this here so I don't have to re-derive it; forgive the notational abuse). From the [spec](https://github.com/ethereum/consensus-specs/blob/dev/specs/phase0/beacon-chain.md#helpers), we have the per-epoch reward in Gwei for a validator with a 32 ETH effective balance given $S$ total stake as: \begin{align} R_e &= \frac{32\times 10^9 \cdot 64}{\sqrt{S}} \end{align} With $384$ seconds per epoch and $31,536,000$ seconds per year, we have $82,125$ epochs per year. Thus, the yearly reward in Gwei for a validator is: \begin{align} R_y &= \frac{32\times 10^9 \cdot 64 \cdot 82125}{\sqrt{S}} \\ &= \frac{1.68192 \times 10^{17}}{\sqrt{S}} \end{align} Thus the annualized yield (as a proportion) is: \begin{align} \text{yield} &= \frac{R_y}{32 \times 10^9} \\ &= \frac{1.68192 \times 10^{17}/\sqrt{S}}{32 \times 10^9} \\ &= \frac{5.256 \times 10^6}{\sqrt{S}} \end{align} Converting the units of $S$ to ETH instead of Gwei, we have: \begin{align} \text{yield}(S_{E}) &= \frac{5.256 \times 10^6}{\sqrt{S_{E} \cdot 10^9}} \\ &\approx \frac{166.21}{\sqrt{S_{E}}} \\ &\approx \frac{2.6 \cdot 64}{\sqrt{S_{E}}} \end{align} <img src=https://storage.googleapis.com/ethereum-hackmd/upload_d475ca1a7c5cbc843682bd32275a4903.png width=92%> <sub>***^ [source](https://github.com/michaelneuder/issuance/blob/main/life%20of%20a%20solo%20staker.ipynb).***</sub> The parameter selection of the inverse square root was based on a rough estimate: aiming for a modest but reasonable 3.3% yield with 30 million `ETH` staked (see ["*Serenity Design Rationale*"](https://notes.ethereum.org/@vbuterin/serenity_design_rationale?type=view#Why-are-the-Casper-incentives-set-the-way-they-are) for more details on the choice of the inverse square root specifically). The primary feature of this curve is *highly incentivizing at least 10 million staked `ETH`.* Beyond that, no specific stake amount is targeted, with the rewards gradually decaying. Today, there are more than 31 million `ETH` [staked](https://www.validatorqueue.com/); the 30 million `ETH` target may have <u>underestimated</u> the staking supply. Let's dig into this a bit more. ## (2) What is the current situation? As of March 2024, staked `ETH` accounts for approximately 31 million of the total supply of 120 million tokens – a "stake rate" of 26% (see [https://www.validatorqueue.com](https://www.validatorqueue.com) for the latest). The amount of staked `ETH` has only ever increased, even (and especially) after enabling withdrawals. The figure below shows the growth in active validators and `ETH` staked over the past three years. <img src=https://storage.googleapis.com/ethereum-hackmd/upload_b2236f526ee0a740239d95ea2ba910f4.jpg width=92%> <sub>***^ [Hildobby dashboard](https://dune.com/hildobby/eth2-staking). Annotations from [Endgame post](https://ethresear.ch/t/endgame-staking-economics-a-case-for-targeting/18751).***</sub> We outline three potential factors contributing to the continued demand for staked `ETH`. <u>Staked `ETH` factors today:</u> 1. ***Risk*** – Perceived & real risks involved with staking have declined due to the continued stability of the network and the successful launch of withdrawals. 2. ***Convenience*** – Liquid staking tokens, centralized exchanges, custodians, and wallet providers continue lowering the entry to staking. 3. ***Yield*** – MEV rewards and airdrop farming from staking/restaking services provide additional yield for staked `ETH` beyond the rewards from the consensus layer. This yield is sometimes called *exogenous* as it comes from outside the protocol. We are not in equilibrium, where the amount of staked `ETH` remains relatively stable; the number of new validators far outpaces the number of validators exiting the protocol. Given this reality, we must consider possible outcomes over the next few years. ## (2.1) How may the situation evolve? Predicting the future is hard; we can't say if/when the new staking inflows will stop under the current issuance regime. The [Cancun/Deneb](https://ethereum.org/en/history/#dencun) fork included [EIP-7514](https://eips.ethereum.org/EIPS/eip-7514), which limits the maximum amount of validators that can activate or exit during each epoch at eight (`MAX_PER_EPOCH_CHURN_LIMIT = 8`). As a result, the expanding entry queue causes a delay in activation (now at four days) for in-bound validators. So long as this queue is non-empty, the maximum number of validators enter the protocol during each epoch. We postulate that the amount of `ETH` staked will rapidly expand during the next 1-2 years due to the following factors. <u>Factors contributing to the demand for staked `ETH` in the next 1-2 years:</u> 1. ***`ETH` price appreciating*** – *Without over-indexing on the market trends, current prices indicate we may be entering a bull market. If `ETH` price goes up, demand for `ETH`-denominated yield increases because this rapid price appreciation results in higher USD-denominated yield.* 2. ***Restaking demand*** – *With EigenLayer quickly attracting over [$11 billion](https://defillama.com/protocol/eigenlayer) TVL, we expect demand for restaked `ETH` to increase. When AVSs launch, airdrop farming, and new yield opportunities will drive staked `ETH` yields up (in the short to medium term, just the potential for AVS token airdrops will induce demand, regardless of the actual yield produced by the AVS in the long run).* 3. ***Interest rates*** – *At 5.33%, the current [Fed Funds Rate](https://fred.stlouisfed.org/series/FEDFUNDS) is at the highest level since March 2001 (it was also around 5% in mid-2007 before the Financial Crisis). When this rate declines, more institutional capital will be looking for yield, and it seems reasonable to assume some of it will end up in staked `ETH`.* 4. ***LST/LRT demand*** – [Liquid staking tokens](https://defillama.com/protocols/Liquid%20Staking) and [liquid restaking tokens](https://defillama.com/protocols/Liquid%20Restaking) are a blessing and a curse. While they lower the barrier of entry to staking and aim to help decentralize the validator set, they also induce massive demand for staked `ETH`. Like AVS tokens, farming LST/LRT airdrops will likely cause large inflows into these tokens in the coming years. 5. ***Staked `ETH` ETF potential*** – We have no idea if an `ETH` ETF will launch, but we know the demand for staked `ETH` ETFs is high. [Fidelity](https://www.coindesk.com/business/2024/03/18/fidelity-adds-staking-to-ether-etf-application-sending-lido-up-9/) recently amended their `ETH` ETF filing to included staking, and it seems like the ETF issuers will push hard to offer this product. While this is great for the legitimization of `ETH`, it results in potentially massive staked `ETH` inflows by presenting the option to institutional capital allocators. **To summarize, the current amount of staked `ETH` already exceeds the rough heuristic used to construct the issuance curve in the first place, and there are many reasons to believe that the demand for staked `ETH` will increase in the next 12-24 months.** ### (2.2) ... so what? What's wrong with lots of stake? The potential for consistent staking demand begs many questions about the resulting high-stake-rate regime. Many Proof-of-Stake chains *already* have much higher stake rates than Ethereum. - <u>Solana</u> – [376mm `SOL` staked](https://solanacompass.com/statistics/staking) of the 444mm `SOL` suply $\implies 85\%$ stake rate. - <u>Cosmos Hub</u> – [245mm `ATOM` staked](https://solanacompass.com/statistics/staking) of the 390mm `ATOM` suply $\implies 63\%$ stake rate. - <u>Celestia</u> – [546mm `TIA` staked](https://www.stakingrewards.com/asset/celestia) of the 1bn `TIA` supply $\implies 55\%$ stake rate. There is nothing *fundamentally broken* about having a majority or super-majority of the native token supply staked (it is worth noting that many Proof-of-Stake chains have a much more concentrated distribution of the tokens; early investors and employees may prefer staking large portions of the supply because that supply is illiquid (due to lockups) but the yield from the staking is liquid and salable, cashing out some of their investments). Additionally, some chains (Solana being the most relevant example) don't have slashing rules defined in the protocol; risk-free staking is an attractive proposition. At first blush, massive amounts of stake seem like a good thing. More stake implies more economic security for Ethereum; "the more, the merrier," right? While we think Ethereum (the blockchain) would operate fine (from a technical aspect) in a high stake-rate regime, we also believe in serious side effects to `ETH` (the asset) and Ethereum (the community and governance layer) resulting from a majority or a super-majority of `ETH` being staked. - ***Side effect \#1*** – *As we approach a 100% stake rate, the real yield from staking goes to zero, forcing all stakers to rely on exogenous rewards for profitability.* - This can be confusing given the *rewards* never go to zero, but consider this simple example: *"I start with 100 tokens out of a supply of 100,000 (I own 0.1% of the supply). My staking reward is 2% annualized, with 100% of the supply staked. By the end of the year, I have 102 tokens, and the total supply is 102,000. I still own 0.1% of the supply."* - Even if everyone is earning positive rewards from the protocol, at a 100% stake rate, the total supply is increasing at that same rate, making my "real" yield 0% (["and when everyone's super, no one will be." – Syndrome](https://www.youtube.com/watch?v=fmSO2cz2ozQ)). (For simplicity, we defer the nitty-gritty of the "real vs. nominal" yield to a follow-up article – "Issuance Issue, Issue #2".) - **A 100% stake rate environment is the *most hostile* to stakers.** The margins from protocol rewards are zero; any solo staker or staking service provider that wants real rewards must depend on exogenous factors (MEV, restaking, DeFi) to continue being profitable. - ***Side effect \#2*** – *`ETH` becomes an "expensive" money to hold at high stake rates.* - `ETH` is the maximally trustless asset on the Ethereum network. As the native token used to fund onchain activity, it has a substantial claim on being the first viable internet-native ["commodity money"](https://en.wikipedia.org/wiki/Commodity_money). One desirable property of money is that it is cheap to hold. - "Cheap to hold" can be confusing when thinking about money, so let's start with USD. Holding USD in cash (or a zero-interest checking account) suffers from a hidden tax of [inflation](https://www.bls.gov/charts/consumer-price-index/consumer-price-index-by-category-line-chart.htm). Though the amount of dollars you own stays the same, their purchasing power decreases over time as the supply increases. Historically, dollars have been great money because the relatively mild inflation makes them cheap to hold (compared to other fiat currencies). - ***In a high stake-rate regime, `ETH` is not cheap to hold***. It's helpful to think of issuance as the inflationary tax that non-staked `ETH` holders pay to `ETH` stakers. This tax is "fair" because it secures the network and makes sure the `ETH` on the chain has strong [settlement assurances](https://medium.com/@nic__carter/its-the-settlement-assurances-stupid-5dcd1c3f4e41). With high stake rates, on the other hand, that "tax" becomes overwhelming because inflation is higher *and* borne by a smaller set of `ETH` holders. - ***Side effect \#3*** – *If `ETH` is not cheap to hold, it may no longer serve as the default "money" of Ethereum.* - **Side effect #2** could lead to a negative feedback loop: when more `ETH` is staked, holding `ETH` becomes more expensive, leading to more staked `ETH`. - If `ETH` is no longer viable as money, the realities of interacting with the chain shift meaningfully. New entrants are forced to evaluate different protocols to determine which LST/LRT to hold based on their risk preference, yield performance, and values. Further, spending `ETH` on gas would involve a currency conversion, adding friction and fees to the transaction origination flow. - We don't know that a single dominant LST/LRT would supplant `ETH` for this role, but that is a [plausible outcome](https://www.paradigm.xyz/2021/04/on-staking-pools-and-staking-derivatives#so-who-will-win-the-staking-market). The network effects of money will most likely result in a power-law distribution with a few tokens capturing most of the staking market. - ***Side effect \#4*** – *The network effects of money increase the risk of "too-big-too-fail" tokens & protocols.* - **Side effect #3** may result in a handful of LST/LRT projects accumulating outsized influence over the underlying protocol. Because staking/restaking directly influences the execution and consensus layers, these projects have significantly more sway than pure DeFi applications (e.g., Uniswap or AAVE). See Vitalik's ["Don't overload Ethereum's consensus"](https://vitalik.eth.limo/general/2023/05/21/dont_overload.html) for a concise articulation of this point. - If an LST/LRT becomes the de-facto money in the ecosystem, that project effectively becomes "Too Big To Fail." The governance system controlling that protocol becomes enshrined as Ethereum governance (more discussion on this [here](https://notes.ethereum.org/@djrtwo/risks-of-lsd) and [here](https://notes.ethereum.org/@mikeneuder/set-theoretic-ethereum)). - Slashing becomes less of a credible threat at high stake rates. Consider a mass-slashing with 80\% of `ETH` staked: a huge amount of the network value would be immediately destroyed and the pressure to intervene would be immense. Even more simply, one party could accumulate enough stake to dictate consensus layer outcomes. As the recent [Munchables hack](https://www.coindesk.com/tech/2024/03/27/munchables-exploited-for-62m-ether-linked-to-rogue-north-korean-team-member/) on Blast demonstrates, the power to unilaterally dictate the state of the chain would not be left unused. Without a credible slashing mechanism, the chain loses ["accountable safety"](https://eprint.iacr.org/2023/1301#:~:text=Accountable%20safety%20means%20that%20in,have%20provably%20violated%20the%20protocol.), and the cryptoeconomic guarantees of finality become impotent. Again, we reiterate that **none of the above is guaranteed.** As with many parts of the Ethereum protocol, we are trying to perform a worst-case analysis of the situation to make Ethereum more anti-fragile. We also bring a healthy understanding of the rate at which Ethereum updates have occurred historically and the amount of time it would take to respond directly to any of the above side effects. Lastly, these problems mostly do not manifest in a single event but belong to the more pernicious "death by a thousand cuts" variety. ## (3) What are our options? The recent [UCC2 episode](https://www.ucc2.xyz/podcast/episode/28ec02cd/ethereums-staking-endgame) with Caspar and Ansgar frames it nicely. As we look to the [Electra](https://eips.ethereum.org/EIPS/eip-7600) hard fork, we must <u>decide</u> if we want to change issuance or not. Changing the issuance curve should only be done with careful consideration. But on the other side of the same coin (or token?!), *not changing issuance* should only be done after careful consideration. Indecision is a decision; inertia is real. Defaulting to doing nothing may be embracing a difficult-to-reverse trend. **Counterintuitively, we believe that *not* changing issuance in Electra is a more committal decision than changing it.** The following thought experiment tries to illustrate this idea more plainly. Consider the following three outcomes for the stake rate: - [`Outcome #1`] $0\% \;\; < \text{stake rate} \leq 50\%$ - [`Outcome #2`] $50\% < \text{stake rate}\leq 80\%$ - [`Outcome #3`] $80\% < \text{stake rate}\leq 100\%$ Without making a value judgment on which outcome is best, we claim that moving in the direction of **increasing stake** (`Outcome #1 -> Outcome #2 -> Outcome #3`) is **much easier** than moving in the direction of **decreasing stake** (`Outcome #3 -> Outcome #2 -> Outcome #1`). Defaults are sticky, and after paying the upfront cost of running a staking operation or deploying capital, individuals or institutions choosing to unstake must overcome this sunk cost. Consider potential timelines for the two subsequent hard forks: - [`Electra (earliest = EOY 2024)`] - Nine months from now ([epoch 335587](https://beaconcha.in/epoch/335587)): approximately 63k epochs. - In one epoch, eight validators can stake 32 `ETH`: 256 `ETH` per epoch. - This gives a maximum of an additional 16 million staked `ETH` by the end of the year. - 31 (current stake) + 16 (new stake) = 46 million `ETH` — a 39% stake rate. - Note that this doesn't account for the fact that the supply could shrink in the meantime (the historical [deflation rate](https://ultrasound.money/) since the Merge has been $-0.25\%$). - **Conclusion**: even if the queue remains full until Electra, `Outcome 1` is the most likely at the time of the fork. - [`F-Star (earliest = EOY 2025)`] - Twenty-one months from now ([epoch 417712](https://beaconcha.in/epoch/417712)): approximately 145k epochs. - A maximum of 37 million additional staked `ETH` at the end of 2025. - 31 (current stake) + 37 (new stake) = 68 million `ETH` — a 57% stake rate. - Note that this doesn't account for the fact that the supply could shrink. - **Conclusion**: it's conceivable that we are in `Outcome 2` by F-star. We use these timelines as pure [hypotheticals](https://www.youtube.com/watch?v=BGQWnWgr8Nk), but the back-of-the-napkin calculations show that **if we do nothing in Electra, it is highly possible that we land in Outcome #2 by the time of the F-star fork.** As discussed above, we expect moving from `Outcome #2 -> Outcome #1` to be quite difficult. Thus, we *likely constrain the set of endgame staking outcomes by not adjusting issuance in Electra*. Again, this might not be how it plays out, but we should go into the decision clear-eyed. Delays in hard forks are possible, and longer time horizons raise uncertainty. Maximizing for optionality is a guideline that might make sense to follow. As time progresses, the community may agree that a 100% stake rate is the correct endgame outcome; that option would remain fully feasible even with an issuance change. **Preserving optionality is the main reason to take action in Electra.** If we do want to begin down this path in Electra, Caspar and Ansgar have [proposed](https://ethereum-magicians.org/t/electra-issuance-curve-adjustment-proposal/18825) a new issuance curve based on Anders' [extended analyses](https://ethresear.ch/t/properties-of-issuance-level-consensus-incentives-and-variability-across-potential-reward-curves/18448). The plot below shows the juxtaposition of the current & hypothetical curves. <img src=https://storage.googleapis.com/ethereum-hackmd/upload_eb8ea8fa5129961f0bfcae8215e53d4b.png width=92%> <sub>***^ [source](https://github.com/michaelneuder/issuance/blob/main/life%20of%20a%20solo%20staker.ipynb).***</sub> We defer the details of "real" versus "nominal" yield to the next post. It's easy to look at this proposed change and have an adverse gut reaction; "Yields going down is bad for solo stakers and the 'good' staking operators of today" — that was my initial reaction too! But after digging in, I think it misses a few subtle details. ### (3.1) Apples-to-apples: comparing staking equilibria The main issue with the current discourse is that comparing today's yields with the hypothetical yields under a new issuance curve is a classic apples-and-oranges situation. As underscored by Caspar in [*the pod*](https://www.youtube.com/watch?v=ivynR3RI3_Y&t=7995s), the true comparison is between: 1. the **real yield in equilibrium** under today's issuance curve, versus 2. the **real yield in equilibrium** under a different issuance curve. We use "equilibrium" to mean "the amount of staked `ETH` is not meaningfully changing." The emphasis highlights that yields can only be measured against each other "once the dust has settled," and the yield isn't systematically changing; that is how we get the apples-to-apples scenario. Today's rates are tricky to analyze because we are not in equilibrium (see [(2) What is the current situation?](#2-What-is-the-current-situation)). But yes, changing the issuance curve as proposed would reduce nominal and real yields at current staking levels. *However*, the apples-to-apples comparison considers the yields given a stable staking rate under today's versus the proposed issuance curve. **We believe the steady-stake environment is better under a reduced issuance curve because it could dampen the demand for newly staked `ETH`, preserving a non-zero real yield for those already staking.** Once more, we defer the mechanics of this calculation to the follow-up post (and acknowledge that all of these equilibria have uncertainty because the staking supply curve is unknown). But this is the fair way to compare different issuance curves. Ethereum designs around the solo staker. With the gold-standard solo staking community (see [EthStaker](https://ethstaker.cc/)), preserving the viability of this core pillar of the ecosystem is an absolute must. With that in mind, let's consider how the issuance discussion impacts the solo stakers. ### (3.2) Consider the solo staker There are high costs to becoming a solo staker today. We break these costs down along two different axes. First, `monetary vs. temporal` indicates whether the cost denomination is dollars or hours. Second, `fixed vs. ongoing` denotes whether the cost is a one-time investment or a continual fee to pay. The following is a rough sketch of the cost borne by a solo staker who runs a node. <u>Solo staking cost structure:</u> - `Stake: (monetary, ongoing).` The 32 ETH $\approx$ $116,000 at current prices. - This cost is `ongoing` because the staker needs to continue using the `ETH` for staking (think of it as the opportunity cost). - `Hardware: (monetary, fixed).` The computer to run the node $\approx$ $1,000. - `Knowledge: (temporal, fixed).` Acquiring the technical skills to run the software. - `Maintenance: (temporal, ongoing).` Keeping the node online and updated. Notice that `Hardware & Knowledge`, the two fixed costs above, are high for solo stakers. The `Stake & Maintenance` costs are ongoing, but relatively lower (while acquiring the 32 `ETH` stake represents a high initial barrier to entry, the ongoing cost of the stake, i.e., the opportunity cost of staking rather than deploying the capital elsewhere, is relatively small). Based on these assumptions, we draw the following conclusion. > **Conclusion #1:** *Given the current staking environment, most people who will solo stake already do.* While future upgrades aim to reduce the costs of solo staking, they are farther down the line. We believe the solo staking base is likely not growing significantly in the current regime. Conversely, let's consider the institutional staker that delegates their staking operation to Coinbase. Their cost structure looks pretty different. (Note: we ignore the smaller stakers who choose to delegate to Coinbase or Lido – this is a simplified example.) <u>Institutional staking cost structure:</u> - `Stake: (monetary, ongoing).` The institutional staker can stake arbitrary amounts, likely hundreds of thousands or millions of dollars. - This cost is `ongoing` because the staker needs to continue using the `ETH` for staking. - `Fees: (monetary, ongoing).` Coinbase charges fees for running the nodes. Notice that `Stake & Fees` are both ongoing, constituting the *entire cost structure of the institutional staker.* This leads to our second conclusion. > **Conclusion #2:** *The institutional staker is likely <u>more</u> price-sensitive to issuance than the solo staker because all the institutional staker costs are ongoing.* This conclusion is self-evident from the fact that most solo stakers' costs are fixed and already paid. The institutional staker must constantly evaluate the value of staking compared to outside options because their costs are exclusively ongoing. We now arrive at the following (albeit reductionist) breakdown: - ETH holders can be partitioned into... - Stakers: who are either - Individual stakers: *<u>Less likely</u> to unstake given an issuance reduction.* - Institutional staker: *<u>More likely</u> to unstake given an issuance reduction.* - Non-stakers: who are either - Individual holders: *<u>Less likely</u> to stake at current issuance.* - Institutional holder: *<u>More likely</u> to stake at current issuance.* While this is an immense simplification, we are concerned with the directionality of the proportion of solo stakers, leading to our third conclusion. > **Conclusion #3:** *An issuance reduction is not likely to reduce the proportion of solo stakers because solo stakers are less price sensitive than institutional stakers.* To reiterate, this is a simplification and intentionally ignores many factors; we don't know how the staking endgame will play out. However, it is at least worth discussing an issuance change and its impact on solo stakers based on the rough sketch of the cost structures laid out above. ## (4) Summary Summarizing each section, we have: 1. Issuance is how the protocol pays for security. The Proof-of-Work block rewards were modified twice, while the 2019 selection of the Proof-of-Stake issuance curve aimed for the rough target of 30 million staked `ETH`. 2. There are currently 31 million `ETH` staked and a steady flow of inbound capital. Many factors that have arisen since the 2019 analysis selecting the inverse square root issuance may contribute to sustained inflows of `ETH` in the next 1-2 years. 3. Changing the issuance in Electra may preserve the optionality of outcomes for endgame staking, while not changing it may result in a difficult-to-reverse high-stake-rate regime. Further, comparing issuance curves makes sense only in equilibrium. It seems like an issuance reduction preserves the viability and proportion of solo stakers. That isn't the end of the story, but the beginning. Happy to be on this journey with you all — ["We're all in this together."](https://www.youtube.com/watch?v=BlRvE9dKWQc) *— made with ♥ by mike.*